60 units caterpillar 3516B Diesel generator nov 5 2025
60 units caterpillar 3516B Diesel generator nov 5 2025
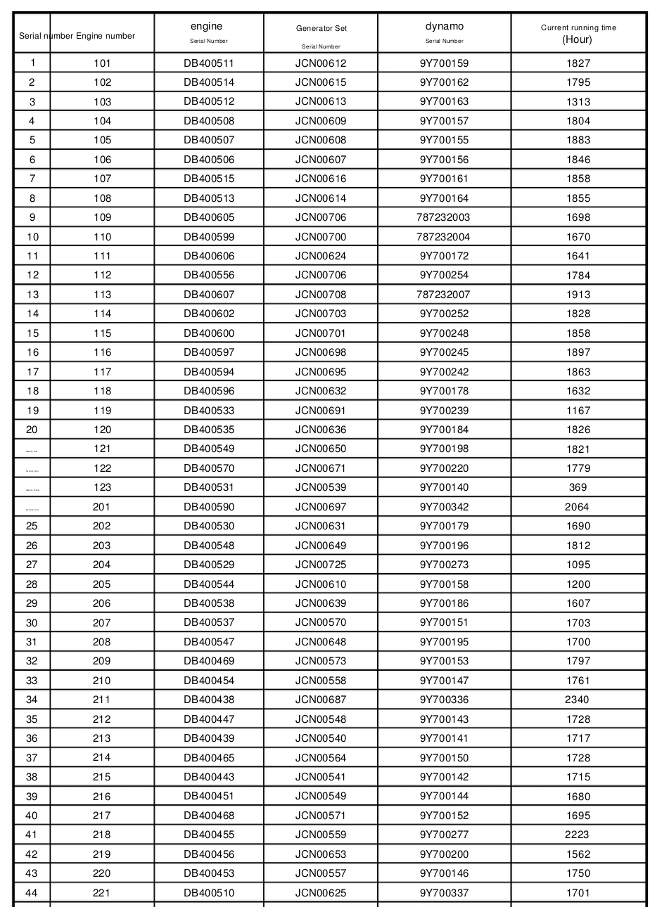
60 units caterpillar 3516B Diesel generator
Year 2018 ,50 Hz, 400 V
Running 2,000 hr
Location Bangladesh
Price: 355,100 USD
Please check the attachment
#actionma
PAYMENT METHODS:
Copyright: Asian Dragon International Enterprise. 2011-2025 All rights reserved.
DISCLAIMER:
Brand logos and other marks indicated on our website are trademarks or registered trademarks of the brand owner, or its subsidiaries and authorized distributors (collectively ), in the United States, Canada and/or other jurisdictions. Graphics, logos, page headers, button icons, scripts and service names are the trademarks or trade dress of the brand owners and their licensed distributors. Trademarks and trade dress are not used in connection with any product or service or in any manner that is likely to cause confusion among customers that we are authorized distributors of any brand or in any manner that disparages or discredits the brand . All trademarks, logo's or slogans not owned by Asian Dragon International that appear on this website are the property of their respective owners, who may or may not be affiliated with, connected to, or sponsored by Asian Dragon International.
Home
Subscribe
Daily Deals
Featured Deals
Hot Deals
Special Deals
Import/Export
Terms & Conditions
Samples
Purchase Policy
Categories
Scammer Alert
About
Contact